Deskthority club has launched

User avatar
7bit

30 Oct 2013, 22:11

Yes, here!
:o

I can write a script to do it.
:roll:

User avatar
Ducky Nordic
Kayvee

30 Oct 2013, 22:19

Image

Brilliant! :D

User avatar
webwit
Wild Duck

30 Oct 2013, 23:32

7bit wrote:Yes, here!
:o

I can write a script to do it.
:roll:
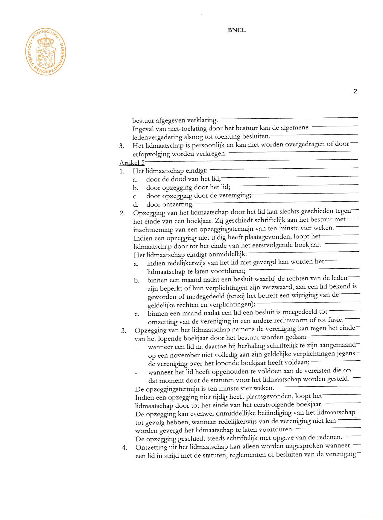
It starts like this. Then 9 more pages like that.
statutes1.jpg
statutes1.jpg (189.75 KiB) Viewed 16529 times

User avatar
webwit
Wild Duck

31 Oct 2013, 00:03

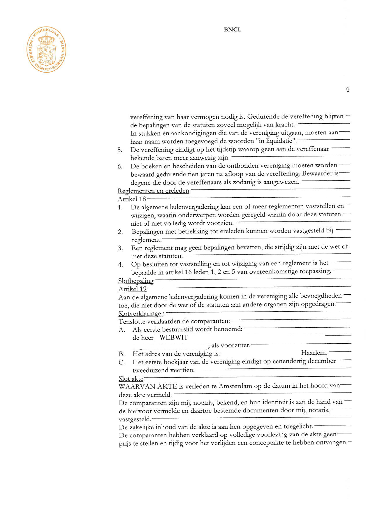
The other pages. It's very interesting. They describe in great detail the mandatory rituals and sacrifices.
Spoiler:
statutes2.jpg
statutes2.jpg (328.59 KiB) Viewed 16509 times
statutes3.jpg
statutes3.jpg (317.51 KiB) Viewed 16509 times
statutes4.jpg
statutes4.jpg (357.17 KiB) Viewed 16509 times
statutes5.jpg
statutes5.jpg (338.16 KiB) Viewed 16509 times
statutes6.jpg
statutes6.jpg (343.02 KiB) Viewed 16509 times
statutes7.jpg
statutes7.jpg (347.18 KiB) Viewed 16509 times
statutes8.jpg
statutes8.jpg (327.53 KiB) Viewed 16502 times
statutes9.jpg
statutes9.jpg (307.96 KiB) Viewed 16502 times
statutes10.jpg
statutes10.jpg (94.04 KiB) Viewed 16509 times

mtl

31 Oct 2013, 00:16

Hooray!! Are we inviting the ΩΜs to the celebration?

User avatar
HaaTa
Master Kiibohd Hunter

31 Oct 2013, 01:08

Is there a reason the signature at the bottom looks sorta like a duck?

User avatar
guilleguillaume

31 Oct 2013, 01:50

Fantastic :D

User avatar
Broadmonkey
Fancy Rank

31 Oct 2013, 10:47

Congrats to us all!
This should be our new header image!
webwit wrote: Image

User avatar
7bit

31 Oct 2013, 15:02

Now, we need a plain 7bit ASCII version to do the automatic translation.

On the other hand, it is not too difficult to understand and looks prety much the same as notary documents in other countries.

BTW: On page 9, the address is missing:
http://deskthority.net/
:roll:

User avatar
Jmneuv

17 Nov 2013, 12:43

Congrats DT!

A question: can you become a club-member under just your nickname?

User avatar
webwit
Wild Duck

17 Nov 2013, 13:36

Yes.

Post Reply

Return to “Deskthority club launch”